Composition régionale de mathématiques du second semestre - 6e
Exercice 1 :
Recopie et remplace les pointillés par les mots qui conviennent
1.Si $A'$ est le symétrique de $A$ par rapport à $(D)$, alors $(D)$ est la ........................ de $[AA']$.
2.L’axe de symétrie d’une figure est la droite $(D)$ telle que le ........................ de tout point de la ........................ est un point de la figure.
3.Dans un calcul en ligne, la multiplication et la division sont prioritaires sur ........................ et la .........................
4.Deux segments ........................ par rapport à une droite ont la même .........................
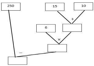
Exercice 2 :
1.Rappelle la règle de priorité avec parenthèses.
2.Parmi $a = 250 - 15 + 10 \times 6$, $b = 250 - (15 + 10) \times 6$, $c = (250 - 15) + 10 \times 6$,
a)identifie celle qui correspond au schéma.
b)Complète le schéma.

Exercice 3 :
1.Parmi les tableaux, lequel est proportionnel ?
$
\begin{array}{|c|c|c|}
\hline
1 & 3 & 5 \\
\hline
2 & 4 & 6 \\
\hline
\end{array}
$
$
\begin{array}{|c|c|c|}
\hline
2 & 3 & 5 \\
\hline
6 & 9 & 15 \\
\hline
\end{array}
$
2.Complète le tableau de proportionnalité et donne le coefficient.
$
\begin{array}{|c|c|c|c|c|}
\hline
2 & 3 & & 5 & \\
\hline
& 15 & 20 & 51 & \\
\hline
\end{array}
$
Dans une classe de $60$ élèves, $45$ ont la moyenne en maths.
Calcule le pourcentage.
Exercice 4 :
1.Trace $[AB]$ de longueur $5 cm$ puis une droite $(d)$ différente de $(AB)$.
2.Construis $I$ milieu de $[AB]$.
3.Construis $A'$ symétrique de $A$ par rapport à $(d)$.
4.Construis $B'$ symétrique de $B$ par rapport à $(d)$.
5.Construis $I'$ symétrique de $I$ par rapport à $(d)$.
6.Quelle est la longueur de $[A'B']$ ? Justifie.
7.Que représente $I'$ pour $[A'B']$ ? Justifie.
Ajouter un commentaire